OrDB
Behavioral Study
  Data
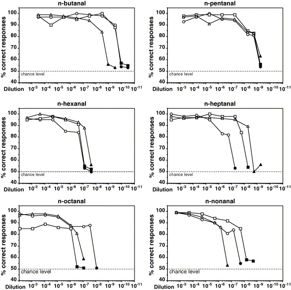
Olfactory sensitivity for aliphatic aldehydes in mice
Mouse
CD-1
150-170 days
Performance of CD-1 mice in discriminating between various dilutions of an aliphatic n-aldehyde and the odorless solvent mineral oil. Each data point represents the percentage of correct choices from a total of 100 decisions per individual animal. The three different symbols represent data from each of the three individual animals tested per odorant. With C4-C8, preexposed animals are indicated by a circle and a square, respectively, and the non-preexposed animal is indicated by a triangle. Filled symbols indicate dilutions that were not discriminated significantly above chance level (binomial test, p > 0.05).
Laska, M., Joshi, D., and Shepherd, G.M.
16253352
Other categories referring to Olfactory sensitivity for aliphatic aldehydes in mice
Odor Map.Behavioral Study   (5)
Revisions: 4
Last Time: 6/2/2006 1:46:23 PM
Reviewer: Nian Liu
Owner: Nian Liu